COMPLEX
Finance Committee of the American Society of Andrology, 1990-95 Item Info
- Title:
- Finance Committee of the American Society of Andrology, 1990-95
- Creator (Organization):
- American Society of Andrology
- Date Created:
- 1990/1995
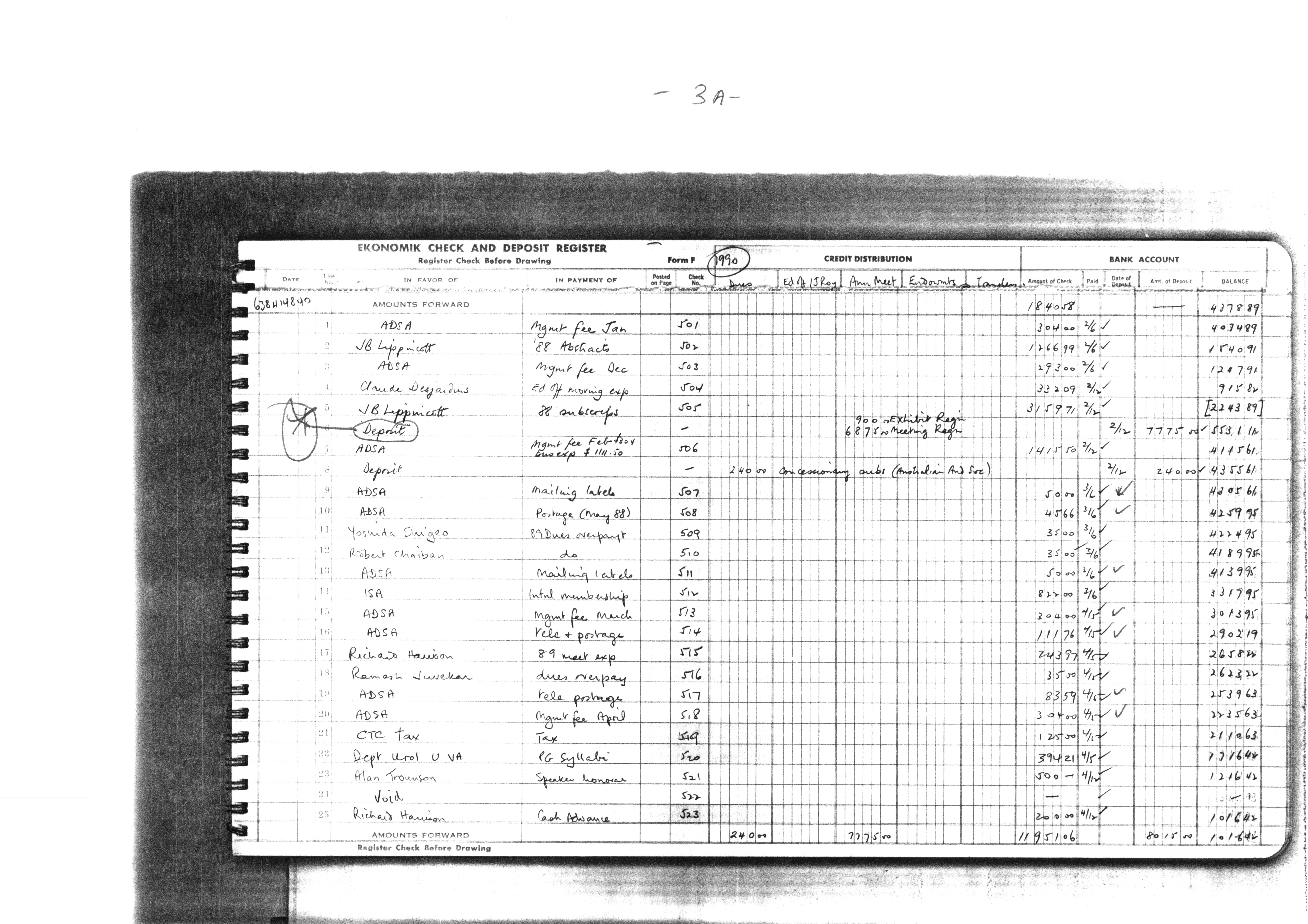
- Description:
- Contains correspondence.
- Subject (Topic):
- Science--Societies, etc.
- Language:
- eng
- Source:
- American Society of Andrology records
- Call Number:
- MS 410
- Finding Aid Permalink:
- https://n2t.net/ark:/87292/w9418x
- Contributing Institution:
- Iowa State University. Special Collections and University Archives
- Publisher:
- Iowa State University. Library
- Extent:
- 147 pages; 22 x 28 cm
- Genre:
- administrative records
- Type:
- Text
- Format:
- image/jpeg
- Digital Collection Title:
- American Society of Andrology collection
- Digital Collection Permalink:
- http://n2t.net/ark:/87292/w97659f4x
- Identifier:
- andrology6009
- Item Permalink:
- https://n2t.net/ark:/87292/w9jg1g
The Iowa State University Library is committed to creating a welcoming digital environment for all learners. Certain material, particularly older materials, handwritten documents, and visual content, present unique challenges in providing more accessible resources. Please contact us if you need support accessing or using this archived content.
Contact us about this recordSource
- Preferred Citation:
- "Finance Committee of the American Society of Andrology, 1990-95", American Society of Andrology Collection, Iowa State University Library Digital Collections
- Reference Link:
- https://n2t.net/ark:/87292/w9jg1g
Rights
- Rights:
- This item is protected by copyright and related rights. You are free to use this item in any way that is permitted by the copyright and related rights legislation that applies to your use. For other uses, please obtain permission from Iowa State University Library Special Collections and University Archives.
- Standardized Rights: